Career
|
Contact Us
Home
About Us
Quality Policy
Vision & Mission
Chairman's Message
The Management
About the Trust
About College
Academics
Courses Offered
B.Ed.
Academic Calendar
IQAC
Newsletter
Exam Cell
Examination Rules
Staff Details
Student Details
Fee Structure
Admission
Procedure
Eligibility for B.Ed.
Contact
Campus Life
Transport
Hospital
Hostel
Library
Canteen
Infrastructure
Laboratory
Activities
Women's Cell
YRC
Red Ribbon Club
Fine Arts
Sports & Games
Life skill Programmes
Scholarship
ICT
Arts and Crafts
SUPW
Educational Tour
Teaching Practice
NCTE
Balance sheet
2020 - 21
2018 - 19
Sanctioned Programme
Affidavit
2020 - 21
2018 - 19
Biometric Attendance
2020 - 21
2018 - 19
Placement
Centralised Placement Cell
Gallery
News
Alumni
Contact us
Address & Location
Links
NCTE
TNTEU
UGC
MHRD
Swayam
AISHE
NCTE PAR SYSTEM
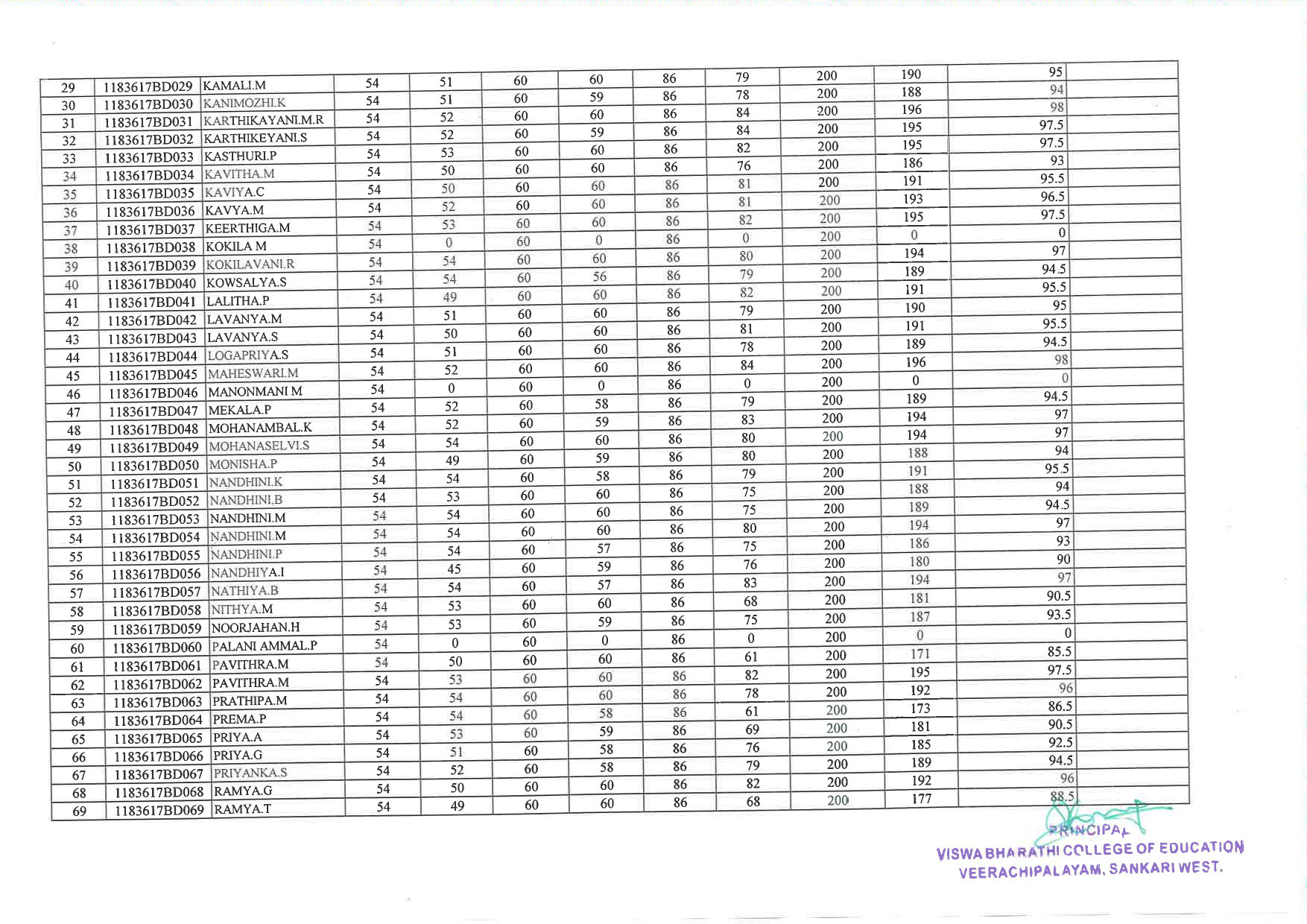
BIOMETRIC ATTENDANCE 2020 - 2021
Attendance 2020-21 B.Ed I YEAR
Attendance 2020-21 B.Ed II YEAR
BIOMETRIC ATTENDANCE - 2018 - 2019
B.ED I
st
Year
B.ED I
st
Year